Τα νέα εργαστηριακά επιβεβαιωμένα κρούσματα της νόσου που καταγράφηκαν τις τελευταίες 24 ώρες είναι 3.475, εκ των οποίων 15 εντοπίστηκαν κατόπιν ελέγχων στις πύλες εισόδου της χώρας.
Ο συνολικός αριθμός των κρουσμάτων ανέρχεται σε 524.871 (ημερήσια μεταβολή +0.7%), εκ των οποίων 51.2% άνδρες.
Με βάση τα επιβεβαιωμένα κρούσματα των τελευταίων 7 ημερών, 128 θεωρούνται σχετιζόμενα με ταξίδι από το εξωτερικό και 2.564 είναι σχετιζόμενα με ήδη γνωστό κρούσμα.
To Rt για την επικράτεια βάσει των κρουσμάτων εκτιμάται σε 1.09 (95% ΔΕ: 0.88 – 1.37).
Οι νέοι θάνατοι ασθενών με COVID-19 είναι 19, ενώ από την έναρξη της επιδημίας έχουν καταγραφεί συνολικά 13.138 θάνατοι.
Το 95.2% είχε υποκείμενο νόσημα ή/και ηλικία 70 ετών και άνω.
Ο αριθμός των ασθενών που νοσηλεύονται διασωληνωμένοι είναι 226 (59.7% άνδρες).
Η διάμεση ηλικία τους είναι 65 έτη. To 85.4% έχει υποκείμενο νόσημα ή/και ηλικία 70 ετών και άνω.
Από την αρχή της πανδημίας έχουν εξέλθει από τις ΜΕΘ 2.854 ασθενείς. Οι εισαγωγές νέων ασθενών Covid-19 στα νοσοκομεία της επικράτειας είναι 246 (ημερήσια μεταβολή +16.59%).
Ο μέσος όρος εισαγωγών του επταημέρου είναι 212 ασθενείς.
Η διάμεση ηλικία των κρουσμάτων είναι 40 έτη (εύρος 0.2 έως 106 έτη), ενώ η διάμεση ηλικία των θανόντων είναι 78 έτη (εύρος 0.2 έως 106 έτη)
Κατανομή ανακοινωθέντων εγχώριων κρουσμάτων: Από το σύνολο των 3.475 νέων κρουσμάτων του νέου ιού στη χώρα 22 είναι εισαγόμενα εκ των οποίων 15 εντοπίστηκαν κατόπιν ελέγχων στις πύλες εισόδου της χώρας.
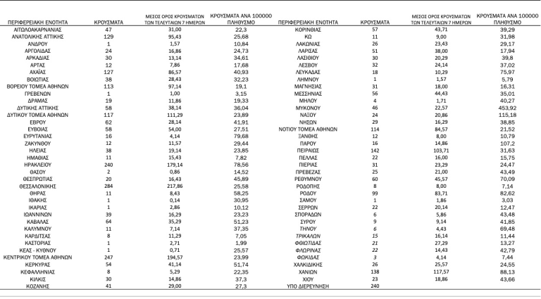
Η κατανομή των 3.453 νέων εγχώριων κρουσμάτων ανά Περιφερειακή Ενότητα παρουσιάζεται στον κατωτέρω πίνακα
Την εβδομάδα 02 Αυγούστου 2021 – 08 Αυγούστου 2021 (2021-W31) το ποσοστό θετικότητας ήταν 3.05% σε σύνολο 623.985 εργαστηριακών ελέγχων (RT-PCR/Rapid-Ag) και 0.79% σε σύνολο 709.364 αυτοδιαγνωστικών ελέγχων.
Στο σύνολο των ελέγχων, το ποσοστό θετικότητας ήταν 1.47%.
Ποσοστό θετικότητας στο σύνολο των ελέγχων ανά Περιφερειακή Ενότητα με δεδομένα από 02 Αυγούστου 2021 έως 08 Αυγούστου 2021 (2021-W31)
Πηγή:www.dimokratiki.gr

