Ελάχιστους μισθούς από 792 έως 863 ευρώ υποχρεούνται πλέον να καταβάλλουν όλα τα ξενοδοχεία της χώρας στους ξενοδοχοϋπαλλήλους την φετινή σεζόν, μετά την πρόσφατη απόφαση του Ανώτατου Συμβουλίου Εργασίας, να κηρύξει υποχρεωτική την Κλαδική Σύμβαση των Ξενοδοχοϋπαλλήλων.
Η επέκταση της ισχύος της σύμβασης σημαίνει πως ακόμη και τα ξενοδοχεία που δεν είναι μέλη της ΠΟΞ υποχρεούνται να την εφαρμόζουν και να μην καταβάλλουν μισθούς κάτω των 792 ευρώ στους υπαλλήλους τους.
Εξαιρούνται οι νεοπροσληφθέντες, δηλαδή οι νεοεισερχόμενοι ανειδίκευτοι στον κλάδο που υπάγονται στην Δ΄ Κατηγορία, όσοι δηλαδή προσλαμβάνονται για πρώτη φορά, οι οποίοι θα μπορούν να αμείβονται για 15 μήνες με 740€ συν όλα τα επιδόματα που απορρέουν από τη συλλογική σύμβαση.
Διατηρούνται επίσης κομβικά θεσμικά δικαιώματα όπως το δικαίωμα της επαναπρόσληψης των εποχικά απασχολούμενων, αλλά και το επίδομα μετεκπαίδευσης στο 10%. Παράλληλα παρέχεται στον εργοδότη η δυνατότητα σε στιγμές φόρτου εργασίας να μην χορηγεί τις ημέρες ανάπαυσης (ρεπό) συνεχόμενα, αλλά πάντα εντός του 7ημέρου όπως ορίζει η εργατική νομοθεσία.
Αναλυτικά οι μισθοί διαμορφώνονται ως εξής:
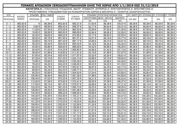
Κατηγορία Α’
Ισχύει για ρεσεψιονίστ, μετρ, θυρωρό Α’, μπουφετζή Α’, προϊστάμενο υπνοδωματίων, μάγειρα Α’, τεχνίτη ζαχαροπλάστη.
Βασικός μισθός 863,83 ευρώ, που μπορεί να φτάσει έως και 1.404,16 ευρώ για έγγαμο, με προϋπηρεσία 35 ετών, επίδομα ανώτερης εκπαίδευσης και ανθυγιεινό επίδομα.
Για έγγαμο, με προϋπηρεσία 25 ετών και επίδομα ανώτερης εκπαίδευσης ο μισθός διαμορφώνεται στα 1.247,78 ευρώ.
Κατηγορία Β’
Ισχύει για βοηθούς υποδοχής, προϊσταμένους πλυντηρίου – λινοθήκης, σερβιτόρο τραπεζαρίας, σαλονιού ή ορόφων – θαλαμηπόλο, μπάρμαν, μάγειρα Β’, τηλεφωνητή.
Βασικός μισθός 845,61 ευρώ, που μπορεί να φτάσει έως και 1.379,57 ευρώ για έγγαμο, με προϋπηρεσία 35 ετών, επίδομα ανώτερης εκπαίδευσης και ανθυγιεινό επίδομα.
Για έγγαμο, με προϋπηρεσία 25 ετών και επίδομα ανώτερης εκπαίδευσης ο μισθός διαμορφώνεται στα 1.225,01 ευρώ.
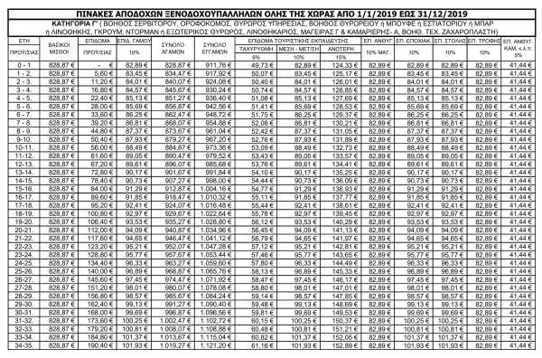
Κατηγορία Γ’
Ισχύει για βοηθούς σερβιτόρου, θυρωρούς υπηρεσίας, βοηθούς μπουφέ – εστιατορίου – μπαρ, γκρουμ, μάγειρα Γ’, καμαριέρη – καμαριέρα, βοηθό ζαχαροπλάστη.
Βασικός μισθός 828,87 ευρώ, που μπορεί να φτάσει έως και 1.356,98 ευρώ για έγγαμο, με προϋπηρεσία 35 ετών, επίδομα ανώτερης εκπαίδευσης και ανθυγιεινό επίδομα.
Για έγγαμο, με προϋπηρεσία 25 ετών και επίδομα ανώτερης εκπαίδευσης ο μισθός διαμορφώνεται στα 1.204,09 ευρώ.
Κατηγορία Δ’
Ισχύει για λαντζέρηδες, πλύντριες, σιδερώτριες, καθαρίστριες κοινόχρηστων χώρων.
Βασικός μισθός 792,08 ευρώ, που μπορεί να φτάσει έως και 1.267,7 ευρώ για έγγαμο, με προϋπηρεσία 35 ετών, επίδομα ανώτερης εκπαίδευσης και ανθυγιεινό επίδομα.
Για έγγαμο, με προϋπηρεσία 25 ετών και επίδομα ανώτερης εκπαίδευσης, ο μισθός διαμορφώνεται στα 1.158,1 ευρώ.

Πηγή: imerisia.gr