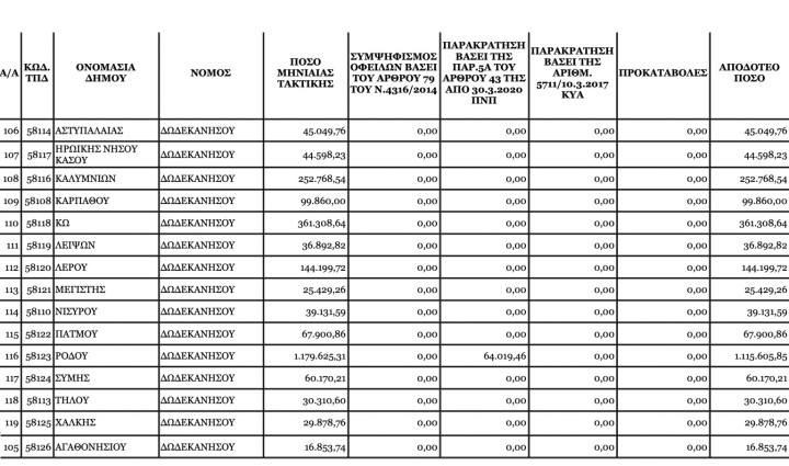
Όπως ανακοινώθηκε από το υπουργείο Εσωτερικών κατανέμεται στους δήμους της χώρας, από τον λογαριασμό του υπουργείου Εσωτερικών που τηρείται στο Ταμείο Παρακαταθηκών και Δανείων με τον τίτλο «Κεντρικοί Αυτοτελείς Πόροι των Δήμων», συνολικό ποσό 125.000.000,00€.
Το ποσό ανά δήμο αποδίδεται ως ενδέκατη (ΙΑ΄) τακτική επιχορήγηση έτους 2023, προς κάλυψη λειτουργικών και λοιπών γενικών δαπανών τους και κατά προτεραιότητα δαπανών μισθοδοσίας του προσωπικού τους, ως ακολούθως:

rodiaki.gr